张天琦、陶奇等-ACS:基于矿物组合揭示火星水环境演化
火星表面的次生矿物是水、岩石与大气相互作用的产物,是揭示火星古气候环境演变和宜居潜力的关键载体。长期以来,学界将蒙皂石的广泛分布作为早期火星处于中碱性环境的重要证据。然而,后续研究表明蒙皂石在酸性环境下同样可以形成,这凸显了单一矿物指标在反演古环境时存在显著的多解性与局限性。因此,多矿物组合的特征入手,能为古环境重建提供更可靠的依据。
针对这一科学问题,中国科学院广州地球化学研究所何宏平研究员团队的张天琦博士和陶奇研究员(通讯作者)开展了模拟火星环境的水热实验研究。通过系统探究在宽pH范围(pH=4-13)下形成的蒙皂石及其共生矿物组合,研究建立了“蒙皂石元素组成、沸石物相/结构与环境酸碱性”之间的系统关联,突破了以往依赖单一矿物相进行环境推断的局限。主要认识包括:
1. 蒙皂石-沸石组合可作为环境碱性强度的有效指标
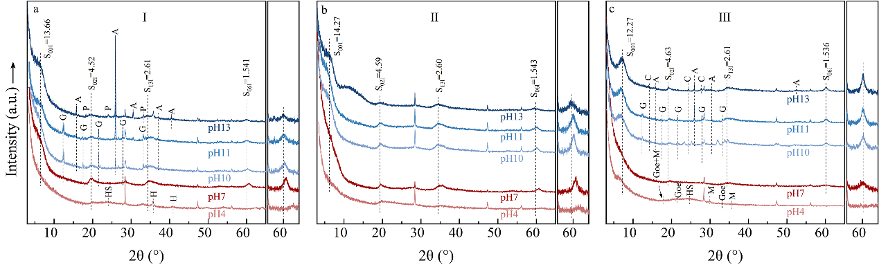
随着环境pH值由中性向强碱性升高,共生矿物呈现清晰的演化序列:蒙皂石→蒙皂石+戈沸石(gobbinsite)+方沸石(立方体)→蒙皂石+十字沸石(phillipsite)+方沸石(立方体和四角三八面体聚型)(图1,2)。针对火星探测中沸石识别难度大的问题,本研究指出拉曼光谱能通过识别硅氧骨架中T-O-T对称弯曲振动模式(图3),有效弥补可见光-近红外反射光谱(VNIR)在该类矿物鉴定上的不足。
2. 蒙皂石的晶体化学特征受环境酸碱度控制
在酸性条件下,Al优先占据蒙皂石晶格,进而调控Fe是以类质同象形式进入蒙皂石结构,还是独立形成赤铁矿、针铁矿等氧化物。在氧化性酸性环境中,蒙皂石内Fe/Mg比值升高,其晶体学上表现为(06l)晶面间距随pH升高而增大(图4)。该趋势与火星遥感数据结果中蒙皂石普遍呈现高Fe/Mg比的现象高度吻合,为理解火星蒙皂石与母岩成分之间的分异机制提供了实验依据。
3. 蒸发盐矿物保存环境极为敏感,影响环境解释与样品保存
实验显示,当环境从火星典型的极地气压、寒冷、干燥转变为室温常压地球条件时,蒸发盐类会发生显著的相变,例如Na2SO4-Ⅲ型向Na2SO4-V型转变;以及六水镁钒(MgSO4·6H2O)向钠镁矾(Na2Mg(SO4)2 · 4H2O)转化。这种不稳定性不仅对基于盐类矿物的古环境重建提出挑战,也对未来火星采样返回任务中样品的封装与长期保存提出了重要警示。
该研究通过多矿物组合的系统实验分析,为火星水岩相互作用历史及古水环境酸碱性演化提供了新的判别依据。研究得到了国家自然科学基金(42272038)和广东省科技计划(2020B1212060055)等项目的资助。相关成果发表于国际黏土矿物学期刊《Applied Clay Science》。
文章信息:Zhang, Tianqi(张天琦); Tao, Qi*(陶奇); Bao, Jinming(鲍金铭); Liang, Xiaoliang(梁晓亮), He, Hongping(何宏平). (2026). Mineral assemblages with smectites in simulated basalt alteration: implications for Martian aqueous environments. Applied Clay Science, 283, 108120. https://doi.org/10.1016/j.clay.2026.108120.

图1. 实验样品的XRD 衍射图谱

图2. 几种沸石的扫描电镜图(a.戈沸石;b.十字沸石;c和d.方沸石)

图3. 沸石的拉曼光谱特征

图4. 蒙皂石d06l值随pH值变化的图表

新闻动态