黄越义等-OG:叠加生物降解与热成熟对叠合盆地的轻质油/凝析油资源潜力和轻烃特征的影响
轻烃(C6–C13)是原油的重要组成部分,具有沸点低、易挥发的特点。轻烃包含丰富的地球化学信息,被广泛用作生物标志物分析的重要补充。传统的液态烃收集法会导致大量的轻烃蒸发损失,导致模拟实验产物与地质条件下的凝析油/轻质油之间存在较大的差别。但这种蒸发损失对轻烃生成潜力及轻烃参数的影响有多大并不清楚。
近年来在我国塔里木盆地和准噶尔盆地相继发现了多个大型轻质油/凝析油藏,这些油藏的轻烃含量很高。在这两个典型的叠合型盆地中,由于多期构造活动的影响,使得早期形成的油气藏经历了多期次的调整改造,例如早期生物降解作用和后期热成熟作用的叠加(叠加次生改造),这在塔北和塔中地区比较普遍。早期发生的生物降解作用往往会显著改变原油的化学组成和分子结构,从而影响原油后期热裂解生成轻烃的时机和潜力。目前,国内外对不同类型的次生改造作用相叠加的研究很少,对于轻烃在此过程中受到的影响的研究工作更少,这大大限制了对我国叠合盆地油气资源特点的认识,也制约了深层油气资源评价和油气勘探的部署。
针对上述问题,中国科学院广州地球化学研究所有机地球化学国家重点实验室博士生黄越义在导师廖玉宏研究员的指导下,首先改进了黄金管封闭体系热解实验后液态烃收集方法,即采用液氮直接冷冻收集液态烃,并与传统的液态烃收集法做了对比。结果表明,传统液态烃收集法比液氮直接冷冻收集法少收集了10% ~ 75%的轻烃(图1a),这显著低估原油热裂解生成轻烃的潜力。此外,传统液态烃收集法测定的轻烃最大产率对应的成熟度为Easy%Ro = 1.08,而液氮直接冷冻收集法测定的轻烃最大产率对应的成熟度为Easy%Ro = 1.67(图1a),更接近地质条件下轻质油和凝析油中轻烃占比较高时的成熟度,因而更为合理。相比于传统液态烃收集法,液氮直接冷冻方法不仅能有效抑制轻烃的蒸发损失,还能较好地揭示轻烃的原始/实际地球化学信息,是一种更好的热解油收集方法。
研究团队还采用黄金管封闭体系热模拟实验,将四种同源且具有不同生物降解程度的原油人工熟化到不同的成熟度,以此来模拟油藏经历的早期生物降解作用与后期热成熟作用相叠加时的复杂次生改造作用。结合液氮直接冷冻收集法,分析了叠加次生改造作用对原油中的轻烃产率及特征的影响。

图1 (a)不同成熟度下两种收集方法获得的C6–C13轻烃总产率;(b)四种原油热解过程中C6–C13轻烃总产率随成熟度(Easy%Ro)的变化。
在叠加次生改造影响下,生物降解作用显著降低了原油裂解生成轻烃的潜力(图1b)。轻度-中度降解油、重度降解油和严重降解油的轻烃产率峰值分别仅占未降解油的55.6%、48.7%和40.2%。这主要是生物降解过程中微生物对原油中富氢的链烷烃的选择性去除,显著降低了原油热解生成轻烃的潜力。因此,对于发生了早期生物降解作用+晚期热成熟作用的叠合盆地而言,叠加次生改造可能导致基于正常油热解的数值模型计算得到的轻质油/凝析油的资源潜力被大大高估。
在叠加次生改造影响下,基于轻烃比值的油-油对比指标可能被严重改造而失效。例如常用的P3 vs (P2 + N2)和P2 vs N2/P3等油-油对比图因受叠加次生改造作用影响(图2a和b)而导致油-油对比出现严重偏差,但(2-MH + 2,3-DMP) vs (3-MH + 2,4-DMP)图仍然能适用于油-油对比(图2c)。

图2 基于轻烃比值的油-油对比指标。
在叠加次生改造影响下,基于轻烃比值的成熟度指标可能被明显修改而失真。例如,生物降解油中与成熟度相关的大部分轻烃参数比未降解油在更低的成熟度(Easy%Ro)时达到最大值,并且普遍低于未降解油的相应轻烃参数(图3),这可能导致原油成熟度评估出现明显偏差。

图3 基于轻烃比值的成熟度指标。
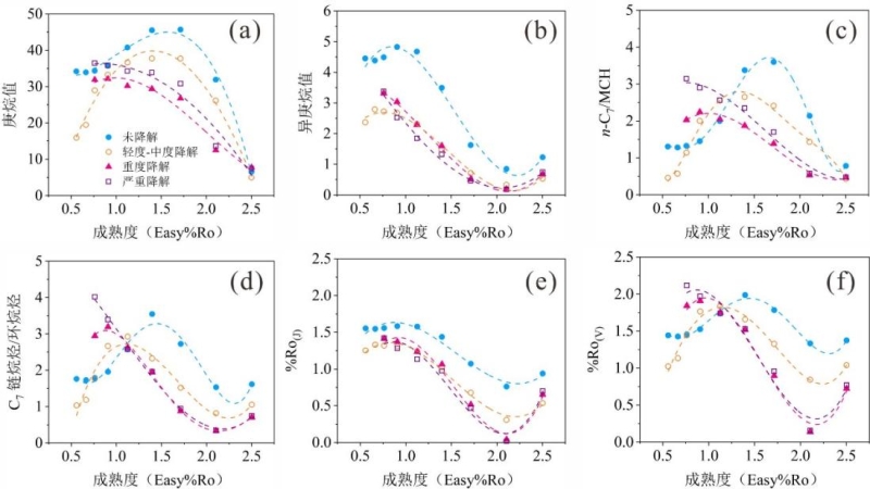
在叠加次生改造影响下,用于识别次生改造类型的异庚烷值vs庚烷值图和甲苯/n-C7 vs n-C7/甲基环己烷图,尽管在轻度-中度生物降解阶段仍然适用,在重度和严重生物降解阶段不再适用于识别次生改造类型(图4)。因此,这可能导致基于轻烃参数的次生改造作用类型判识出现偏差。此外,当Easy%Ro在0.5–1.4%范围内时,生物降解油热解产生的大多数轻烃产物与未降解油热解产生的相应轻烃产物的δ13C值存在一定的差别,主要原因是原生轻烃和次生轻烃的δ13C值存在差别,且在不同成熟阶段这两种来源的轻烃的占比有所不同,导致这种碳同位素分馏效应随着成熟度的升高而逐渐减弱。

图4 识别次生改造作用类型的轻烃参数图版
综上所述,叠加次生改造过程对轻烃生成潜力、轻烃指标以及轻烃的δ13C值均有显著影响。因此,在叠合盆地开展的轻烃资源评估以及基于轻烃特征的油-油对比和成熟度评估,应该结合油气藏的次生改造改造过程来做出判断。
本研究受到中国科学院A类先导科技专项(XDA14010103)和国家自然科学基金面上项目(41872156)的资助。相关研究成果近期发表在国际期刊Organic Geochemistry上。
论文信息:
1. Huang, Y.(黄越义), Liao, Y.*(廖玉宏), Pan, Y.(潘银华), Hsu, C.S.(许强), Wang, Y.(王云鹏), Peng, P.a.(彭平安), 2022. Improved light hydrocarbons collection method for the pyrolysis of crude oil in gold tube closed system experiments. Organic Geochemistry. 168, 104432. DOI: 10.1016/j.orggeochem.2022.104432
2. Huang, Y.(黄越义), Liao, Y. *(廖玉宏), Xu, T.(许涛), Wang, Y.(王云鹏), Peng, P. (彭平安), 2023. Characteristics of light hydrocarbons under the superimposed influence of biodegradation and subsequent thermal maturation. Organic Geochemistry 177, 104557. DOI: 10.1016/j.orggeochem.2023.104557

新闻动态