二次离子质谱仪(SIMS)具有较高的空间分辨率和精确度,应用前景广阔。SIMS分析需要基体匹配的样品来校正仪器分馏(IMF)。以往的SIMS硫同位素分析需要在每一个未知样靶上粘贴基体匹配的标样,因此标样消耗较大且延长了总分析时间。此外,硫同位素均匀的天然样品难以找到,标样的匮乏会严重制约原位SIMS测试。
为减少标样的消耗,广州地球化学研究所矿物学与成矿学院重点实验室博士后李如操和同位素地球化学国家重点实验室夏小平研究员等人对黄铁矿和磁黄铁矿SIMS硫同位素测试过程中不同标样靶之间的仪器分馏进行了评估,同时还发现了一件硫同位素均匀的磁黄铁矿样品:
1、 实验共进行了6天,在实验过程中实验参数保持不变。结果表明,Mount1靶和Mount2靶上的PPP-1(黄铁矿)和Po-10(磁黄铁矿)的结果在6天内并无明显变化(图1),平均值的浮动均未超过0.2‰。这表明,在实验参数保持不变的情况下,黄铁矿和磁黄铁矿的仪器分馏可在至少6天内保持稳定。这一结果的启示是,在SIMS硫同位素分析过程中,未知样的结果可以通过分析标样靶上的标样进行校正。

图1. (a)未经仪器分馏校正的PPP-1(黄铁矿)的结果;(b)未经仪器分馏校正的Po-10(磁黄铁矿)的结果
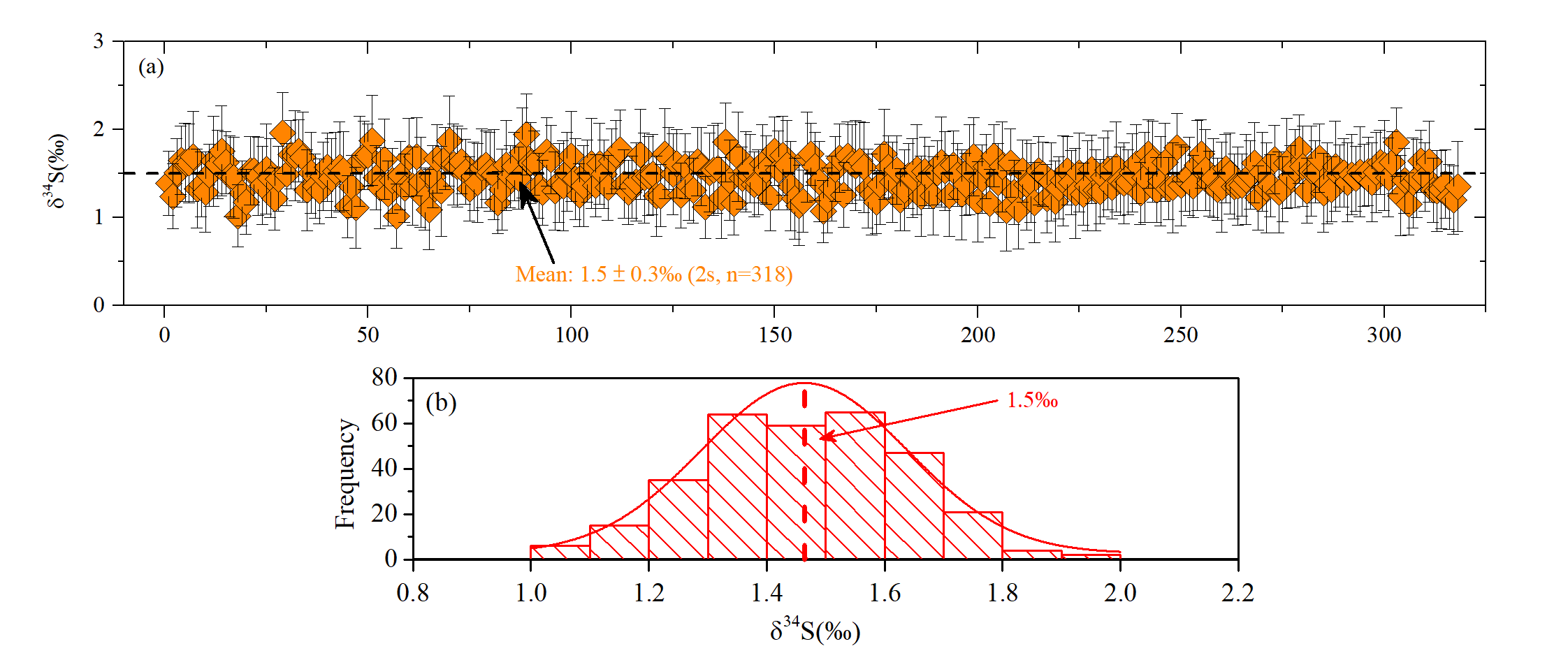
2、 本次实验对采自芬兰Portimo基性杂岩体中的一件磁黄铁矿样品进行了300余点的测试。结果显示,所有数据的2倍标准偏差为0.3‰,表明该样品具均匀性较好,是一个潜在的磁黄铁矿硫同位素标准样品。SIMS测试结果的平均值为+1.5‰(图2),这一结果与气体质谱得到的结果完全一致。

图2 (a)YP136磁黄铁矿SIMS分析结果;(b)SIMS结果直方图

图3 YP136磁黄铁矿气体质谱分析结果
该成果受广州市科技项目(No.201607020029)、973项目(2014CB440802)和国家重点研发计划项目(2016YFC0600407)的联合资助。成果发表于Geostandards and Geoanalytical Research上。
Rucao Li, Xiaoping Xia, Shenghong Yang, Huayong Chen, Qing Yang, Off‐Mount Calibration and One New Potential Pyrrhotite Reference Material for Sulfur Isotope Measurement by Secondary Ion Mass Spectrometry. https://doi.org/10.1111/ggr.12244
原文链接:
https://onlinelibrary.wiley.com/doi/full/10.1111/ggr.12244
(矿物学与成矿学院重点实验室&同位素地球化学国家重点实验室 供稿)