广州地化所发现太平洋北部核幔边界处存在不均匀古俯冲板块
全球地震层析成像的结果表明,在核幔边界(~2891 km)附近,太平洋低速异常周围存在着清晰的高速异常体。这些高速异常体通常被认为是俯冲的古板块在核幔边界处的残余。然而由于传统层析成像方法对研究区域采样不够密集,并且分辨率有限的的问题,这些异常区域的的精细结构以及来源问题往往无法得到详细的描述。为解决这一问题,孙新蕾研究员和她的学生马晓龙与合作者,运用非传统的地震震相,即从核幔边界散射的PKP前导波,来进行研究。
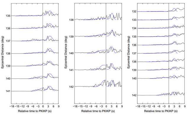
他们综合分析了南极流动台站记录到的发生在勘察加半岛和阿留申群岛的PKP前导波信息,通过偏移成像以及对散射能量的拟合,发现产生这些PKP前导波的强散射体结构大体分布在北纬30-40°之间,深度在核幔边界之上400公里范围内。与前人研究所不同的地方在于,他们发现这些散射体的结构是非均一性的,存着横向不均匀性:散射体区域大致分为三部分:西部(140-160°E),中部(160-180°E),东部(180-200°E)。其中,中部区域的散射体呈现出1.0-1.2%的P波速度扰动,而两边的西部和东部区域速度扰动只有0.5% (图2)。 利用ScS-S相对到时残差的方法对同样的区域进行了分析,研究组也得到了类似的分布趋势:中间区域的S波速度异常为2.0-3.0%,而两边的速度异常为1.0-1.5% (图3)。综合以上结果,研究者认为这些散射体结构可能是古俯冲板块在核幔边界处的残余,而这种散射强度的横向不均匀性变化可能有两种原因导致:(1)不同的俯冲板块导致的物质物性不同;(2)同一板块内部组分在分异过程中分离出不同物质。
这项研究结果发表在SCI国际刊物Physics of the Earth and Planetary Interiors上。

(a) (b)
图1. (a) PKIKP波和散射波的射线路径示意图。 (b) S和ScS波射线路径示意图。

图2. 三个区域三个地震的观测(黑色)和模拟(蓝色)的地震波包示意图。

图3. 下地幔400公里范围内平均S波速度异常示意图。
Ma, X., Sun, X., Wiens, D.A., Wen, L., Nyblade, A., Anandakrishnan, S., Aser, R., Huerta, Wilson, T., 2016. Strong seismic scatterers near the core-mantle boundary north of the Pacific Anomaly. Phys. Earth Planet. Inter., 253, 21-30.
(同位素地球化学国家重点实验室 & 所综合办公室 供稿)

新闻动态